(am-ee-OH-da-rone)

Critical Points

Uses of amiodarone

amiodarone toxicity

amiodarone pharmacology

A Critical Care Scenario

A fifty-nine year old man presents with 5kg weight loss and jaundice, a carcinoma of the head of pancreas is diagnosed, and he is admitted for a Whipple's procedure. He is still mildly jaundiced, but has gained a little weight following endoscopic placement of a biliary stent. He has no other significant past medical history, and specifically no history of palpitations.
A small snippet of his surface ECG shows:

ECG: V4 showing short PR interval

Following the 4.5 hour procedure he initially does well, but has to return to theatre for massive intra-abdominal bleeding. A bleeding vessel is ligated. Seven units of blood are transfused, and he is returned to ICU intubated. Again stable in all respects, well-analgesed with patient-controlled analgesia, and maintaining good oxygenation on an FiO2 of 0.4, he is soon extubated. Half an hour later, he develops intermittent runs of tachycardia (up to a rate of 160/min), which progressively become more frequent, and then continuous. Blood pressure is maintained. Carotid sinus massage transiently breaks the arrhythmia, which then recurs. Arterial blood gas analysis is within normal limits, as are serum electrolytes, including magnesium and potassium. His pain is still well-controlled. Because such arrhythmias are often self-limiting, and he is haemodynamically stable, he is observed for one hour, but the rhythm disturbance doesn't settle.

What would you do now?

  • Wait a bit more?
  • Sedate the patient and administer DC cardioversion?
  • Re-intubate the patient, sedate him and DC cardiovert?
  • Give amiodarone?
  • None of the above?

Common trade names

Cordarone, Cordarone X.
Also: Amiodar, Ancoron, Angiodarona, Atlansil, Cordarex, Miocard, Miodaron, Ortacrone, Ritmocardyl, Rythmarone, Trangorex.


Main Uses and Contra-indications

Strong Contra-indications include:

Possible contra-indications are: Specific Diseases:

Dose and Monitoring

  1. Intravenous
    In a 70kg adult we would use: Others have used lesser doses or greater dilutions. There has been recent interest in more rapid initial administration in emergency situations (eg 5mg/kg IV over 1 minute). Ampoules are usually 150mg.

    As a minimum we recommend:

  2. Oral
    Various doses have been used. Some have recommended:

    Long term monitoring and precautions should probably include:

Interactions

Common interactions:

Other interactions:


Side effects

Management of Toxicity


Pharmacology

Mechanism of Action

Amiodarone has actions in classes I,II,III and IV of the Vaughan Williams classification, but is predominantly a membrane stabilizer (class III).
Its class III action is mediated by inhibition of the rapid component of the delayed potassium rectifier IKr (as with sotalol) but also an effect on the slow component. It is the latter effect that probably explains why amiodarone only minimally increases the risk of torsades de point (polymorphic ventricular tachycardia), unlike sotalol.
Desethylamiodarone alters gene expression, antagonising the effects of T3! [ J Cardiovasc Pharmacol 1998 Oct;32(4):654-61 ]

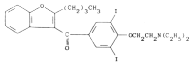
Chemistry

Amiodarone is a white powder derived from benzofuran, and has a molecular weight of 645.32, C 25 H 29 I 2 NO 3 , usually presented as a hydrochloride (MW 681.8); it is not very soluble in water, and is very lipophilic.

Amiodarone for intravenous use is solubilized using polysorbate 80 This vehicle causes hypotension, decreases heart rate, depresses AV nodal conduction and increases atrial and ventricular myocardial refractory period!

Recent Literature

The following brief notes are far from complete!

  1. Amiodarone and sudden death post-myocardial infarction

  2. Side effects

    • "Amiodarone-induced arrhythmia is rare, with frequency of 0.3% in one study." [ Pharmacotherapy 1998 Nov-Dec;18(6 Pt 2):138S-145S ]
    • Acute amiodarone lung toxicity: Donaldson et al [ Intensive Care Med 1998 Jun;24(6):626-30 ] describe lipoid pneumonia in three patients who died in ICU after receiving over 48 hrs of amiodarone therapy.

  3. Amiodarone in atrial fibrillation

    • Amiodarone is good in preventing recurrence of atrial fibrillation (successful in up to 80% of patients).[Nolan et al, Pharmacotherapy 1998 Nov-Dec;18(6 Pt 2):127S-137S ]

    • Amiodarone is as good as propafenone for the termination of chronic atrial fibrillation (worked in about 50%). [ J Am Coll Cardiol 1999 Mar 15;33(4):966-71 ] See also [ Am J Cardiol 1999 Jan 1;83(1):58-61 ], and for acute AF [ Pacing Clin Electrophysiol 1998 Nov;21(11 Pt 2):2475-9], although it acts more slowly. Other studies have also found that conversion of acute AF takes time with amiodarone, being no better than placebo up to 8 hours [ Pacing Clin Electrophysiol 1998 Nov;21(11 Pt 2):2470-4 ] {I would increase the infusion rate!}

Related Drugs

Class III antiarrhythmics such as amiodarone have gained favour following the (disastrous!) CAST trial of class I agents. Investigational agents with class III activity include azimilide, dofetilide, dronedarone, ersentilide, ibutilide, tedisamil, and trecetilide [ J Cardiovasc Electrophysiol 1999 Feb;10(2):307-17 ]


References


Disclaimer

Information on this page is provided for teaching purposes. You should not make a clinical treatment decision based on information contained in this page without consulting other references including the package insert of the drug, textbooks and where relevant, expert opinion. We cannot be held responsible for any errors you make in administering drugs mentioned on this page, nor for use of any erroneous information contained on this page.